欢迎来到众化
登录
|
免费注册
众化首页
会员中心
购物车
网站导航
采购询价
发布采购
采购管理
采购订单
报价销售
发布产品
产品管理
询盘管理
销售订单
关于我们
公告公示
公司动态
联系我们
服务指南
支付方式
运费说明
收货需知
发票说明
退换货政策
配送发货
找产品
买现货
查百科
委托采购
全部产品分类
生物及医药化学品
抗肿瘤药
抗感染药
医药原料药
皮肤科用药
|
血液系统用药
|
抗肿瘤药
|
免疫用药
|
心血管系统用药
|
脑与神经系统用药
|
呼吸系统用药
|
抗感染药
|
体激素
医药中间体
药用辅料
N,N-二异丙基乙胺
CAS:7087-68-5
4-吡啶甲醛
CAS:872-85-5
对甲苯磺酸
CAS:104-15-4
4-氯苯甲醛
CAS:104-88-1
邻溴氟苯
CAS:1072-85-1
基础化学品
无机盐
有机磷
无机化学品
碳化物
|
卤化物
|
无机盐
|
氧化物和过氧化物
|
硅化物和硅酸盐
|
无机酸
|
无机碱
|
碳酸盐
有机化学品
卤化物
|
羰基化合物
|
有机硅化合物
|
芳香化合物
|
含氮有机物
|
含硫有机物
|
杂环化合物
|
手性化合物
|
醇类
|
硼酸衍生物
|
有机磷
|
烯烃类
|
不对称合成
|
有机金属试剂
|
有机砌块
|
甾体化合物
三乙胺
CAS:121-44-8
N,N-二异丙基乙胺
CAS:7087-68-5
4-吡啶甲醛
CAS:872-85-5
环丁烷甲酸乙酯
CAS:14924-53-9
1-(3-二甲氨基丙基)-3-乙基碳二亚胺盐酸盐
CAS:25952-53-8
日用化学品
湿润剂
收敛剂
化妆品原料
去头屑剂
|
漂白剂
|
稳定剂
|
清爽剂
|
增湿剂
|
变性剂
|
抗脂溢剂
|
止汗剂
|
柔顺剂
|
紫外线滤光剂
|
平滑剂
|
还原剂
|
化妆品加脂剂
|
凝胶剂
|
指甲改善剂
|
抗牙菌斑剂
|
直发剂
|
消泡剂
|
染发剂
|
加香剂
|
皮肤调理剂
|
氧化剂
|
润肤剂
|
头发调理剂
|
掩蔽剂
|
乳化剂
|
抗静电剂
|
粘度调节剂
|
清洗剂
|
脱毛剂
|
防腐蚀剂
|
角质溶解剂
|
成膜剂
|
抗氧化剂
|
护肤剂
|
湿润剂
|
化妆品溶剂
|
抗菌剂
|
滋养剂
|
增泡剂
|
收敛剂
|
乳液稳定剂
|
粘合剂
|
化妆品着色剂
|
防腐剂
|
推进剂
|
磨砂剂
|
发泡剂
|
遮光剂
|
膨胀剂
|
水溶助剂
|
安抚剂
|
除臭剂
|
口腔护理剂
|
紫外线吸收剂
|
吸收剂
|
增塑剂
|
珠光剂
|
防结块剂
|
香味剂
|
头发固定剂
|
缓冲剂
|
螯合剂
香精
油溶性香精
|
日用香精
|
食用香精
|
乳化香精
|
粉末香精
|
水溶性香精
苯甲醛
CAS:100-52-7
对甲苯磺酸
CAS:104-15-4
4-甲基-2-戊酮
CAS:108-10-1
间苯二酚
CAS:108-46-3
硅胶
CAS:112926-00-8
天然产物及提取物
抗癌类
心脑血管类
植物提取物
蔬菜水果提取物
|
中草药提取物
植物药原料
抗癌类
|
心脑血管类
|
降血压降血糖
|
免疫增强
|
清热解毒类
|
减肥药原料
|
抗氧化
|
抗菌消炎抗病毒
苯甲醛
CAS:100-52-7
克林沙星
CAS:105956-97-6
间苯二酚
CAS:108-46-3
L-脯氨酸
CAS:147-85-3
黄芩苷
CAS:21967-41-9
催化剂及助剂
助剂
催化剂
助剂
荧光增白剂
|
合成材料助剂
|
聚乙二醇衍生物
|
前处理剂
|
抗氧剂
|
高分子聚合物添加剂
|
金属加工助剂
|
表面处理剂
|
电子工业用化学助剂
|
偶联剂
|
选矿药剂及冶炼助剂
|
建工及建材用化学品
|
油田用化学品
|
农药用助剂
|
吸附剂
|
皮革助剂
|
热稳定剂
|
纸张用添加剂
|
油品添加剂
|
塑料橡胶助剂
|
表面活性剂
|
填充剂
|
涂料助剂
|
玻璃防霉剂
|
有机抽提剂
|
缓凝剂
|
印染纺织助剂
|
水处理剂
|
阻燃剂
催化剂
石油精制用催化剂
|
氧化物催化剂
|
酸碱催化剂
|
硫化物催化剂
|
合成材料用催化剂
|
茂金属催化剂
|
分子筛
|
贵金属催化剂
|
季铵盐
|
有机化工用催化剂
|
工业催化剂
|
无机化工用催化剂
配体
膦配体
|
Salen配体
|
氮杂环卡宾配体
|
烯配体
|
二酮配体
|
胺配体
|
亚胺配体
|
吡啶配体
|
联吡啶配体
|
菲咯啉配体
材料化学品
高分子材料
纳米材料
高分子材料
单体
|
聚合物
|
聚合物添加剂
|
聚合用试剂
金属与陶瓷材料
超高纯材料
|
氧化物
|
金属材料
|
陶瓷
|
硫化物
|
磁性材料
|
合金
|
盐类
有机印刷电子材料
印刷电子材料
|
OPV材料
|
液晶材料
|
合成工具和试剂
|
OFET材料
|
升华材料
|
基板和电极材料
|
基体和电极材料
|
光子与光学材料
|
OLED和PLED材料
光子和光学材料
酞菁和卟啉染料
|
非线性光学材料
|
激光染料
|
波导材料
|
红外染料
|
化学发光染料
|
光致变色和热致变色染料
|
光致发光材料
OLED和PLED材料
空穴传输和空穴注入层材料
|
发光聚合物
|
发光材料和掺杂剂
|
基质材料
|
电子传输和空穴阻挡材料
|
电荷传输材料
|
光敏材料
纳米材料
介孔材料
|
量子点
|
应用材料
|
表面功能化的纳米颗粒
|
氧化物,氮化物和其他陶瓷
|
倍半硅氧烷POSS纳米复合材料
|
碳纳米材料
|
树型聚合物
|
金属与金属合金
|
纳米粉体和纳米颗粒分散体
|
纳米线
产品中心
现货商城
实单专区
积分商城
首页
>
产品中心
>
别名:
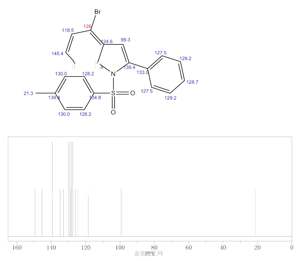
英文名: 4-Bromo-1-[(4-methylphenyl)sulfonyl]-2-phenyl-1H-pyrrolo[2,3-b]py ridine
cas号
1021950-50-4
分子式
C20H15BrN2O2S
分子量
427.31400
现货产品
快速询价
1小时获得报价
CAS:
数量:
MG
G
KG
T
ML
UL
L
收货:
请选择省
请选择市
备注:
热门搜索
基本信息
中文名:
CAS No.:1021950-50-4
分子式:C20H15BrN2O2S
分子量:427.31400
图谱
猜你喜欢
cas:1021950-50-4
客服:
立即采购