|
- 别名:
- 英文名: 3H-Pyrazolo[4,3-c]quinolin-3-one,2-(4-chlorophenyl)-2,5,6,7,8,9-hexahydro-, hydrochloride (1:1)
- cas号102200-24-8
- 分子式C16H15Cl2N3O
- 分子量336.216
快速询价1小时获得报价
- CAS:
- 数量:
- 收货:
- 备注:
热门搜索
基本信息
- 中文名:
- 中文别名:
- 英文名称:3H-Pyrazolo[4,3-c]quinolin-3-one,2-(4-chlorophenyl)-2,5,6,7,8,9-hexahydro-, monohydrochloride (9CI); CGS 17867A
- CAS No.:102200-24-8
- 分子式:C16H15Cl2N3O
- 分子量:336.216
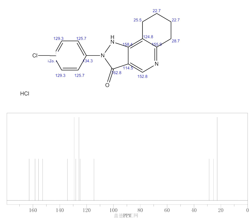
图谱

猜你喜欢


















