首页 >
产品中心 >
基础化学品 >
有机化学品 >
不对称合成 >
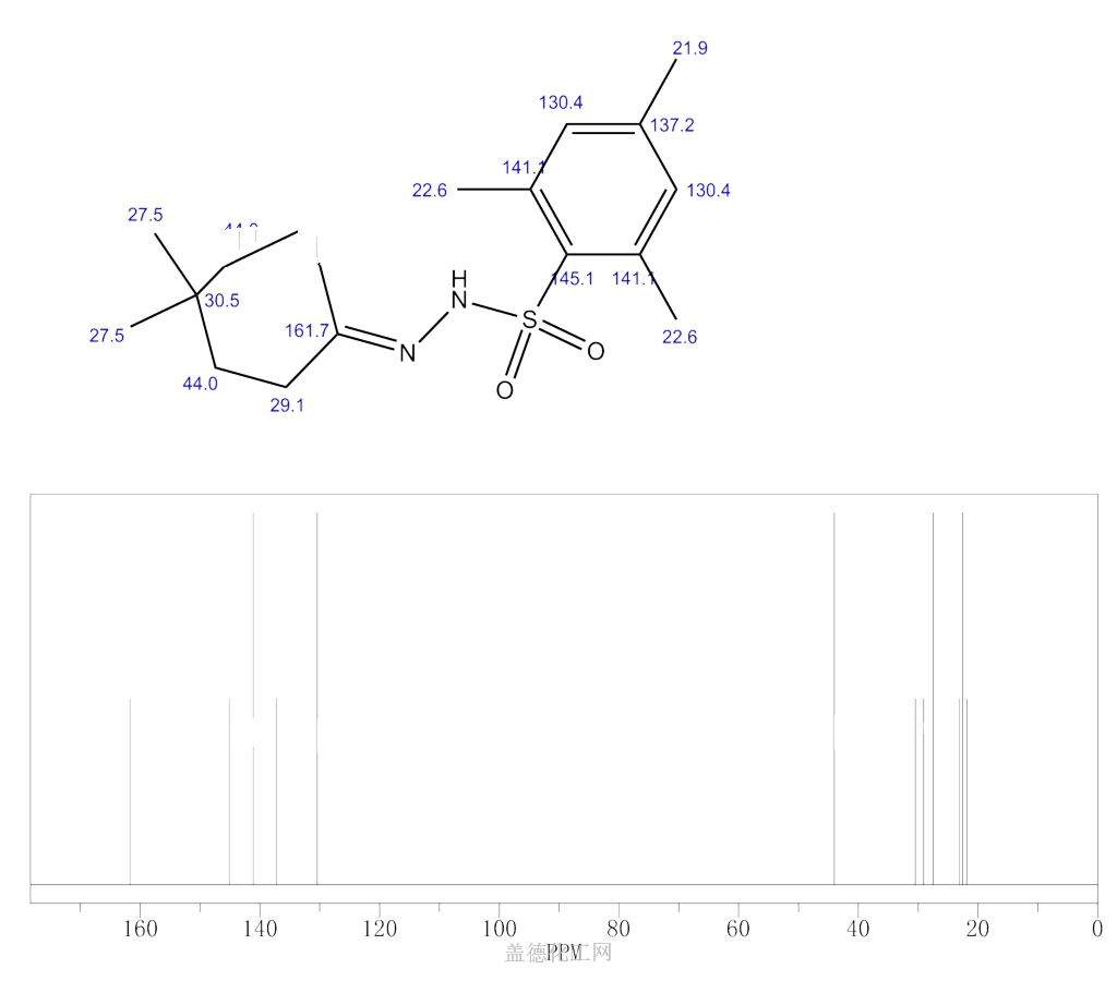
N-(4,4-DIMETHYLCYCLOHEXYLIDENE)-2,4,6-TRIMETHYLBENZENESULFONOHYDRAZIDE
|
N-(4,4-DIMETHYLCYCLOHEXYLIDENE)-2,4,6-TRIMETHYLBENZENESULFONOHYDRAZIDE
- 别名:
- 英文名: Benzenesulfonic acid,2,4,6-trimethyl-, 2-(4,4-dimethylcyclohexylidene)hydrazide
- cas号957066-12-5
- 分子式C17H26 N2 O2 S
- 分子量
快速询价1小时获得报价
- CAS:
- 数量:
- 收货:
- 备注:
热门搜索
基本信息
- 中文名:N-(4,4-DIMETHYLCYCLOHEXYLIDENE)-2,4,6-TRIMETHYLBENZENESULFONOHYDRAZIDE
- 中文别名:
- 英文名称:N’-(4,4-Dimethylcyclohexylidene)-2,4,6-trimethylbenzenesulfonohydrazide;N’-(4,4-Dimethylcyclohexylidene)-2,4,6-trimethylbenzenesulphonohydrazide
- CAS No.:957066-12-5
- 分子式:C17H26 N2 O2 S
- 分子量:
图谱

猜你喜欢














