|
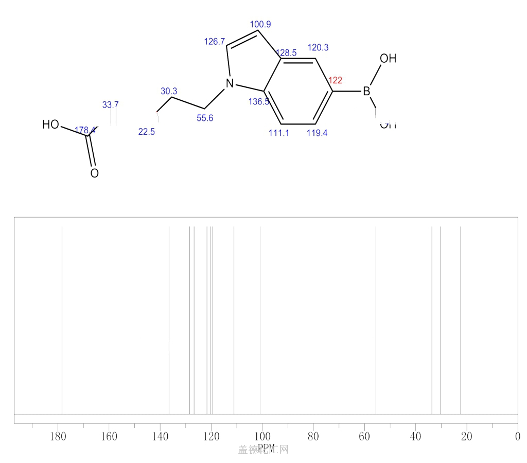
1-(4-羧基丁基)吲哚-5-硼酸
- 别名:
- 英文名: 5-(5-Borono-1H-indol-1-yl)pentanoic acid
- cas号1072946-60-1
- 分子式C13H16BNO4
- 分子量261.084
快速询价1小时获得报价
- CAS:
- 数量:
- 收货:
- 备注:
热门搜索
基本信息
- 中文名:1-(4-羧基丁基)吲哚-5-硼酸
- 中文别名:
- 英文名称:1-(4-Carboxybutyl)indole-5-boronic acid;5-(5-Borono-1H-indol-1-yl)pentanoic acid
- CAS No.:1072946-60-1
- 分子式:C13H16BNO4
- 分子量:261.084
图谱

猜你喜欢

















