![]() |
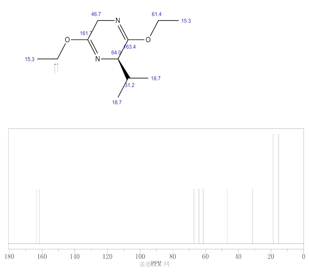
(R)-2,5-二氢-3,6-二乙氧基-2-异丙基吡嗪
- 别名: (R)-2,5-二氢-3,6-二乙氧基-2-异丙基吡嗪
- 英文名: Pyrazine,3,6-diethoxy-2,5-dihydro-2-(1-methylethyl)-, (2R)-
- cas号110117-71-0
- 分子式C11H20N2O2
- 分子量212.29
纯度 | 规格 | 品牌 | 货期 | 价格 | 操作 |
快速询价1小时获得报价
- CAS:
- 数量:
- 收货:
- 备注:
热门搜索
基本信息
- 中文名:(R)-2,5-二氢-3,6-二乙氧基-2-异丙基吡嗪
- 中文别名:(R)-2,5-二氢-3,6-二乙氧基-2-异丙基吡嗪
- 英文名称:Pyrazine,3,6-diethoxy-2,5-dihydro-2-(1-methylethyl)-, (R)-;(3R)-2,5-Diethoxy-3-isopropyl-3,6-dihydropyrazine;(R)-3,6-Diethoxy-2-isopropyl-2,5-dihydropyrazine;
- CAS No.:110117-71-0
- 分子式:C11H20N2O2
- 分子量:212.29
图谱

猜你喜欢